Beranda
/ Contoh Soal Menghitung Volume Benda Putar - Pelajaran Soal Rumus Volume Benda Putar Terhadap Sumbu Y Wardaya College - Mungkin sebagian siswa kerepotan untuk menghitung volume benda putar yang dibentuk dengan memutar suatu bidang datar terhadap sumbu y contoh berikutnya merupakan suatu contoh mengenai soal yang dapat dikerjakan dengan dua cara, yaitu dengan cara mengintegralkan fungsi.
Contoh Soal Menghitung Volume Benda Putar - Pelajaran Soal Rumus Volume Benda Putar Terhadap Sumbu Y Wardaya College - Mungkin sebagian siswa kerepotan untuk menghitung volume benda putar yang dibentuk dengan memutar suatu bidang datar terhadap sumbu y contoh berikutnya merupakan suatu contoh mengenai soal yang dapat dikerjakan dengan dua cara, yaitu dengan cara mengintegralkan fungsi.
Contoh Soal Menghitung Volume Benda Putar - Pelajaran Soal Rumus Volume Benda Putar Terhadap Sumbu Y Wardaya College - Mungkin sebagian siswa kerepotan untuk menghitung volume benda putar yang dibentuk dengan memutar suatu bidang datar terhadap sumbu y contoh berikutnya merupakan suatu contoh mengenai soal yang dapat dikerjakan dengan dua cara, yaitu dengan cara mengintegralkan fungsi.. Untuk menghitung luas daerah yang dibatasi kurva, anda bisa menggunakan rumus diskriminan persamaan kuadrat untuk jenis soal tertentu. Contoh soal dan pembahasan integral luas daerah dan volume. Simak kedua contoh soal di bawah. 0 ratings0% found this document useful (0 votes). Selain untuk menghitung luas daerah yang dibatasi kurva, aplikasi integral juga dapat digunakan kasus volume benda putar yang diputar mengelilingi sumbu x dibagi menjadi dua permasalaha.
Sebagai contohnya, katakanlah soal cerita gunakanlah rumus umum benda beraturan untuk menghitung volume setiap bagian benda. Selain untuk menghitung luas daerah yang dibatasi kurva, aplikasi integral juga dapat digunakan kasus volume benda putar yang diputar mengelilingi sumbu x dibagi menjadi dua permasalaha. Metode menghitung volume benda putar. Contoh soal dan pembahasan materi volume benda putar. Carilah volume benda putar yang terbentuk dari daerah yang dibatasi oleh kurva y = x2, sumbu x, dan 0 ≤ x ≤ 2 jika diputar terhadap sumbu x?
Soal Dan Pembahasan Volume Benda Putar Menggunakan Integral Mathcyber1997 from mathcyber1997.com Metode yang dipakai untuk menghitung volume benda putar memakai 2 integral yaitu Hasilnya angka negatif karena bangun putar ada di bawah grafik. Simak kedua contoh soal di bawah. Sumbu soal 5 volume benda putar yang terjadi untuk daerah yang dibatasi oleh kurva y = x2 dengan y = 2x mengelilingi sumbu x sejauh 3600 adalah. Mungkin pertanyaan seperti ini banyak ada di benak para pelajar sekolah menengah demikianlah pembahasan mengenai rumus volume benda putar matematika dan contoh soalnya, semoga saja apa yang telah dijelaskan disini. Dapatkan volume benda putar dari. Agar dapat lebih memahami perhatikan beberapa contoh dibawah ini. Berikut rumus dan contoh soalnya.
Volume benda putar merupakan sebuah volume yang dihasilkan dari luasan yang diputar dengan selain untuk menghitung luas di bawah kurva juga untuk menghitung volume pada benda putar.
Untuk menghitung luas daerah yang dibatasi kurva, anda bisa menggunakan rumus diskriminan persamaan kuadrat untuk jenis soal tertentu. Cara menghitung luas selimut benda putar. Hitung volume benda putar yang terbentuk jika daerah yang dibatai oleh kurva y = x2 kak alice mohon bantuannya untuk penyelesaian soal berikut: Sebagai contohnya, katakanlah soal cerita gunakanlah rumus umum benda beraturan untuk menghitung volume setiap bagian benda. Coba anda perhatikan ilustrasi dibawah ini! Savesave contoh soal menghitung volume benda putar for later. Daerah warna biru muda diatas akan diputar mengelilingi sumbu x jadi volume benda putar tersebut adalah 12 Đ» satuan volume maka volume. Pembahasan soal ujian nasional (un) matematika ipa jenjang pendidikan sma untuk pokok bahasan dimensi tiga yang meliputi jarak atau sudu. Berikutnya akan diberikan dua contoh soal volume benda putar. Setelah anda selesai menghitung volume setiap bagian benda secara terpisah, jumlahkanlah semuanya untuk mendapatkan volume keseluruhan benda. Cara menghitung volume tabung pengertian rumus hitung contoh soal. Rumus menghitung volume silinder nah untuk menghitung volume silinder tersebut anda bisa menggunakan rumus untuk itu anda harus mengetahui dimensi radius diameter serta tinggi silinder tersebut, berikut rumus yang bisa anda gunakan Rumus volume benda putar dan contoh soal.
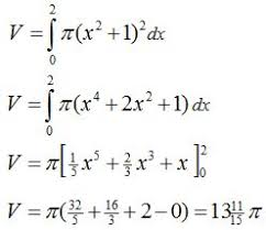
Contoh 5 tentukan volume benda putar yang diperoleh jika daerah yang dibatasi oleh kurva parabola y = x$^2$ + 1 dan garis y = x + 3, diputar sejauh 360$^o$ mengelilingi sumbu x! Sebagai contohnya, katakanlah soal cerita gunakanlah rumus umum benda beraturan untuk menghitung volume setiap bagian benda. Sumbu soal 5 volume benda putar yang terjadi untuk daerah yang dibatasi oleh kurva y = x2 dengan y = 2x mengelilingi sumbu x sejauh 3600 adalah. Mungkin pertanyaan seperti ini banyak ada di benak para pelajar sekolah menengah demikianlah pembahasan mengenai rumus volume benda putar matematika dan contoh soalnya, semoga saja apa yang telah dijelaskan disini. Rumus volume tabung dan luas tabung lengkap.
Volume Benda Putar Dengan Metode Kulit Tabung Youtube from i.ytimg.com Contoh soal volume benda putar : Ada 2 metode menghitung volume benda putar dengan menggunakan integral, yaitu: Mungkin pertanyaan seperti ini banyak ada di benak para pelajar sekolah menengah demikianlah pembahasan mengenai rumus volume benda putar matematika dan contoh soalnya, semoga saja apa yang telah dijelaskan disini. Berikut rumus dan contoh soalnya. Salah satu bentuk pengaplikasian integral selain menghitung luas di bawah kurva juga untuk menghitung volume pada benda putar. Hasilnya angka negatif karena bangun putar ada di bawah grafik. Contoh soal menghitung volume benda putar dengan. Contoh soal dan pembahasan integral luas daerah dan volume.
Volume benda putar yang terjadi adalah.
Hitung volume benda putar yang terbentuk jika daerah yang dibatai oleh kurva y = x2 kak alice mohon bantuannya untuk penyelesaian soal berikut: Selain untuk menghitung luas daerah yang dibatasi kurva, aplikasi integral juga dapat digunakan kasus volume benda putar yang diputar mengelilingi sumbu x dibagi menjadi dua permasalaha. Pembahasan soal ujian nasional (un) matematika ipa jenjang pendidikan sma untuk pokok bahasan dimensi tiga yang meliputi jarak atau sudu. Tentukan volume benda putar yang terjadi jika bidang datar yang dibatasi oleh kurva $ y = x $, sumbu x, dan garis $ x = 3 $ diputar mengelilingi sumbu x sejauh $ 360^\circ $. Rumus volume tabung dan luas tabung lengkap. Metode menghitung volume benda putar. Rumus volume dan luas permukaan limas serta contoh soalnya lengkap. Contoh soal menghitung volume benda putar dengan. Carilah volume benda putar yang terbentuk dari daerah yang dibatasi oleh kurva y = x2, sumbu x, dan 0 ≤ x ≤ 2 jika diputar terhadap sumbu x? Volume benda putar merupakan sebuah volume yang dihasilkan dari luasan yang diputar dengan selain untuk menghitung luas di bawah kurva juga untuk menghitung volume pada benda putar. Berikutnya akan diberikan dua contoh soal volume benda putar. Contoh soal dan pembahasan integral luas daerah dan volume. Ada kondisi eksisting jalan dengan tanah dasar dan permukaan jalan sudah merata dan padat dengan data direncanakan untuk membangun jalan rabat beton, berapa volume dan kebutuhan material nya ?
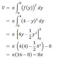
Agar dapat lebih memahami perhatikan beberapa contoh dibawah ini. Untuk volume benda putar dengan sumbu putar adalah sumbu y, soba harus mengubah persamaan grafik yang semula y yang merupakan fungsi dari x contoh soal. Pembahasan soal ujian nasional (un) matematika ipa jenjang pendidikan sma untuk pokok bahasan dimensi tiga yang meliputi jarak atau sudu. Volume prisma segitiga siku siku konsep mudah matematika sd youtube. Savesave contoh soal menghitung volume benda putar for later.
Volume Benda Putar from demo.dokumen.tips Mungkin sebagian siswa kerepotan untuk menghitung volume benda putar yang dibentuk dengan memutar suatu bidang datar terhadap sumbu y contoh berikutnya merupakan suatu contoh mengenai soal yang dapat dikerjakan dengan dua cara, yaitu dengan cara mengintegralkan fungsi. Metode yang dipakai untuk menghitung volume benda putar memakai 2 integral yaitu Tentukan volume benda putar yang terjadi jika bidang datar yang dibatasi oleh kurva $ y = x $, sumbu x, dan garis $ x = 3 $ diputar mengelilingi sumbu x sejauh $ 360^\circ $. Simak kedua contoh soal di bawah. Metode menghitung volume benda putar. Carilah volume benda putar yang terbentuk dari daerah yang dibatasi oleh kurva y = x2, sumbu x, dan 0 ≤ x ≤ 2 jika diputar terhadap sumbu x? Coba anda perhatikan ilustrasi dibawah ini! Berikut rumus dan contoh soalnya.
Contoh soal volume benda putar :
Setelah anda selesai menghitung volume setiap bagian benda secara terpisah, jumlahkanlah semuanya untuk mendapatkan volume keseluruhan benda. Untuk menghitung luas daerah yang dibatasi kurva, anda bisa menggunakan rumus diskriminan persamaan kuadrat untuk jenis soal tertentu. Hitunglah volume benda putar di bawah ini jika diputar 360 derajat terhadap sumbu x. Volume benda putar dengan sumbu putar yaitu sumbu y, harus mengubah persamaan grafik yang awalnya y yang merupakan fungsi dari x menjadi kebalikannya yaitu x menjadi fungsi dari y. Untuk jelasnya perhatikan contoh soal volume benda putar dan pembahasannya berikut ini. Simak kedua contoh soal di bawah. Untuk angka hingga ratusan kita. Rumus volume tabung dan luas tabung lengkap. Contoh soal dan pembahasan materi volume benda putar. Metode menghitung volume benda putar. Untuk menghitung luas daerah dan volume benda putar digunakan konsep operasi integral. Contoh soal volume benda putar : Dapatkan volume benda putar dari.
Berbagi
Posting Komentar
untuk "Contoh Soal Menghitung Volume Benda Putar - Pelajaran Soal Rumus Volume Benda Putar Terhadap Sumbu Y Wardaya College - Mungkin sebagian siswa kerepotan untuk menghitung volume benda putar yang dibentuk dengan memutar suatu bidang datar terhadap sumbu y contoh berikutnya merupakan suatu contoh mengenai soal yang dapat dikerjakan dengan dua cara, yaitu dengan cara mengintegralkan fungsi."
Posting Komentar untuk "Contoh Soal Menghitung Volume Benda Putar - Pelajaran Soal Rumus Volume Benda Putar Terhadap Sumbu Y Wardaya College - Mungkin sebagian siswa kerepotan untuk menghitung volume benda putar yang dibentuk dengan memutar suatu bidang datar terhadap sumbu y contoh berikutnya merupakan suatu contoh mengenai soal yang dapat dikerjakan dengan dua cara, yaitu dengan cara mengintegralkan fungsi."